INTRODUCCIÓN
Conductividad iónica (σ) es un factor clave a la hora de evaluar diferentes soluciones líquidas. Por ejemplo, este parámetro está directamente relacionado con la salinidad del agua y también puede indicar la cantidad de contaminación presente.1]. Por lo tanto, es extremadamente importante calcular correctamente σ. Sin embargo, al utilizar sondas de conductividad estándar, normalmente se requieren grandes volúmenes de líquido que no siempre están disponibles. Además, con ciertos tipos de muestras podrían surgir problemas de contaminación que dañarían la sonda. Teniendo en cuenta estos inconvenientes, en esta nota de aplicación se presenta una solución desechable basada en la serigrafía. El electrodo serigrafiado (SPE) 11COND se utiliza para obtener el σ valor de diferentes muestras de agua potable utilizando solo 100 µL de cada tipo. Los resultados se comparan con los obtenidos utilizando una sonda de conductividad estándar, lo que demuestra la idoneidad y la reproducibilidad de esta solución desechable.
Conceptos fundamentales
Medición σ Está directamente relacionado con el movimiento de iones (polarización) cuando se aplica un campo eléctrico. En estas condiciones, los iones se mueven experimentando una resistencia que se utiliza para calcular la conductividad de la solución.
Experimentalmente, se suele emplear la espectroscopia de impedancia electroquímica (EIS), ya que se aplica un potencial de CC con una cierta oscilación de CA, lo que genera el movimiento de los iones. Si la frecuencia elegida es lo suficientemente alta como para considerar solo la parte resistiva de la solución (es decir, comportamiento óhmico), el módulo de impedancia (|Z |) es básicamente la resistencia de la solución [2].
Aparte de este valor, las dimensiones de la celda, representadas por la constante de celda (Kcelúla), también debe tenerse en cuenta. Para sondas estándar, este parámetro representa la relación longitud/área de la célula donde σ se mide.
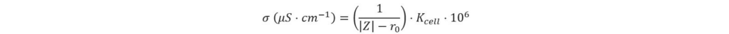
Figura 1 muestra la fórmula que debe emplearse al utilizar los 11COND SPE.

La resistencia del electrodo basal (interno) está representada por el término ro. Tenga en cuenta que, para que esta ecuación sea estrictamente válida, la temperatura debe considerarse constante a 25 °C. El rango de conductividades para el uso de este electrodo abarca desde 84 µS·cm-1 a 111,8 mS·cm-1.
Instrumentación y software
En esta nota de aplicación, se analizaron ocho muestras diferentes de agua potable, incluyendo agua del grifo y siete marcas comerciales de agua mineral embotellada. El montaje experimental incluye 11 electrodos COND (Figura 2). Estos electrodos están compuestos por un sustrato cerámico con dos círculos de carbono serigrafiados rodeados de tinta dieléctrica.
El multipotenciostato µStat-i M8One (Figura 3) con tecnología de impedancia para todas las mediciones. Esta configuración permitió realizar simultáneamente todos los experimentos de EIS para todas las muestras de agua mencionadas.


La configuración del software utilizada en este estudio se muestra en Figura 4. Observe que tanto freqBegin como freqEnd tienen el mismo valor (10 kHz), ya que solo el |Z Se necesita un valor a esta frecuencia. Además, el experimento se lleva a cabo al valor del potencial de circuito abierto (OCP).
En primer lugar, los líquidos deben atemperarse a 25 °C antes de comenzar el experimento. A continuación, tras completar la configuración inicial y la del software, se coloca una gota de 100 µL de cada muestra sobre los electrodos, cubriendo ambos círculos.
Una vez finalizado el ensayo EIS, |Z |se extrae de los datos de impedancia. Utilizando ese valor, ro y Kcelúla (que se dan en el recuadro SPE), junto con la ecuación que se muestra en Figura 1Las diferentes conductividades se pueden calcular en µS·cm.-1.

Resultados
Figura 5 Muestra los resultados de este estudio junto con las barras de error asociadas para cada tipo de muestra. Los valores obtenidos con el electrodo 11COND y la sonda de conductividad estándar son muy similares, lo que demuestra la idoneidad del uso del SPE. Cada muestra de agua se analizó con tres SPE diferentes para garantizar la reproducibilidad de los resultados.
Teniendo en cuenta el pequeño volumen necesario para el experimento y la naturaleza desechable de los electrodos, el 11COND ofrece una alternativa fácil y práctica para medir la conductividad iónica en soluciones de concentración moderada.

Conclusión
Esta nota de aplicación demuestra cómo el electrodo serigrafiado 11COND mide eficazmente los valores de conductividad iónica de diferentes aguas potables. Este estudio incluye siete marcas comerciales de agua mineral embotellada, además de agua del grifo, obteniendo resultados prácticamente indistinguibles entre el 11COND SPE y una sonda de conductividad estándar. Estos resultados sirven como prueba de concepto, demostrando la fiabilidad y la practicidad del electrodo 11COND para mediciones de conductividad, especialmente para volúmenes de muestra pequeños, ofreciendo una clara ventaja sobre los conductímetros convencionales que requieren volúmenes significativamente mayores.
Referencias
- RB Baird; EW Arroz; d.C. Eaton. Métodos estándar para el análisis de agua y aguas residuales, 23.ª edición., 23.ª ed.; Asociación Estadounidense de Salud Pública: Washington D.C.
- Lazanas, A. Ch.; Prodromidis, M. I. Espectroscopia de impedancia electroquímica: un tutorial. Medidas de la ACS. Ciencia. Au 2023, 3 (3), 162–193. https://doi.org/10.1021/acsmeasuresciau.2c00070.